The 'Golden Eye' of Heparin Sodium Structure Analysis and Quality Control(health product raw materials: PEA - hexadecamide ethanol CAS: 544-31-0)
2025-08-22
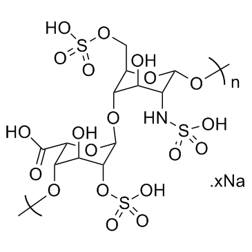
Heparin, as the most widely used anticoagulant drug globally, has a direct impact on the quality and safety of patients' lives and health. However, the production and supply chain of heparin is complex, with diverse sources of raw materials (such as pig, cow, sheep and other animal intestines or